
洛科ROCKER儀器讓過濾更簡單!
? 17世紀初,意大利的挖井工人有一個經驗性常識———用泵抽水的高度有限。伽利略通過計算,證明泵抽水的高度極限約10m。1643年,伽利略的學生托里拆利認為,如果水的高度極限為10m,則相對密度為13.6的水銀上升高度應該在760mm。他將一根一端封閉盛滿水銀的細長玻璃管倒立在水銀槽內,實驗驗證玻璃管中的水銀高度逐漸下降至水銀槽液面以上大約760mm(圖1.1)。托里拆利隨即指出,玻璃管上端的空隙內就是真空,而大氣的壓強就是約760mmHg。之后,帕斯卡等發現水銀柱在地面的高度大于在山頂的高度,證明大氣壓強與海拔高度關。

圖1.1 托里拆利實驗圖
1654年德國人葛利克將兩個直徑40cm的銅質半球合起來,用真空泵將球內的空氣抽出。在巨大的大氣壓強作用下,*終每個半球用8匹馬,沿相反的方向也未能將兩個半球拉開。葛利克當時是馬德堡市的市長,這個實驗被稱為馬德堡半球實驗。
1622年英國人玻意耳發現玻意耳定律,即在定量定溫下,理想氣體的體積與氣體的壓強成反比。1738年瑞士人伯努利提出完整的氣體分子運動理論。他們奠定了真空技術*初的理論基礎。
氣體的壓強來自氣體分子和容器壁的碰撞,其根本的起源是分子自身的動能。即

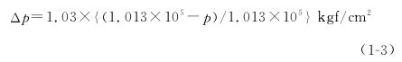
真空容器內的壓強和壓強差的關系為

kgf/cm2是千克力每平方厘米的壓強表示單位。容器內的壓強從大氣壓降到104Pa時,容器內外的壓強差基本上是線性增加(圖1.2)。繼續減壓,則壓強差逐漸飽和。

圖1.2 真空容器的壓強和壓強差之間的關系
一個大氣壓下,每平方厘米就承受1.033kg的大氣壓力。如果我們人體的面部表面積是200cm2的話,則面部承受著200多千克的壓力。由于人們日常生活中身體內外壓力平衡,所以才沒有感到巨大的壓力。乘坐飛機時,起飛和降落時耳膜會有不適,就是身體內外產生壓強差的表現。乘坐高層電梯迅速升降時的耳膜不適,也是同樣原因。海平面上,大氣壓強為1.013×105Pa,珠穆朗瑪峰頂的壓強為3.2×104Pa,約為海平面氣壓的1/3。
我國自古以來就善于利用真空技術。古人冶煉時使用的風箱,其原理和現在的旋片泵相似;而醫療用的拔火罐更是一個獲得真空和應用真空的完整過程。我國在幾千年的歷史中,善于發明創造,但是缺少將發明系統化和在生產中進行技術革新的意識,以至于多次和人類的重大產業革命失之交臂。